研究内容 (福岡工業大学着任後)
1. 新物質開発
1-1 新しい高エントロピー合金超伝導体の開発
自動車のエンジン部品や航空機のジェットエンジンなどには、鉄やニッケルが主成分の合金が使われています。これらの合金では、鉄やニッケルに他元素を少し混ぜて必要な特性を引き出しています。最近、複数の元素を同程度の割合で混ぜた(エントロピーが高い状態)多元素合金が、従来合金よりも優れた特性を示すことで注目を浴びています。これは2004年に提案され、高エントロピー合金と呼ばれています。高エントロピー合金は、構造材料、生体適合材料、触媒材料、熱電変換材料などとして非常に優れた性能を示し、世界中で精力的に研究されています。超伝導材料としても高エントロピー合金は、変わった性質を示すことで注目されています。例えば、地球の中心部にかかるような超高圧力を、高エントロピー合金超伝導体に加えても超伝導状態が壊れません。また、実用面でも、臨界電流密度が非常に大きなものも報告され注目されています。我々は体心立方格子(bcc)構造の高エントロピー合金超伝導体の開発を行っています。bcc構造がよく研究されているのですが、それでも数例しか報告がありませんでした。我々はHf21Nb25Ti15V15Zr24という高エントロピー合金(下図(a))が超伝導転移温度5.3Kの新しい超伝導体であることを発見しました(下図(b))。
発表論文:"New high-entropy alloy superconductor Hf21Nb25Ti15V15Zr24" Results in Physics 13 (2019) 102275.

また、高エントロピー合金と似た化学組成をもつものにゴムメタルがあります。ゴムメタルは超弾性など特異な機械的特性を示すことで注目されています。もし、ゴムメタルが超伝導を示せば、次世代超伝導線材材料として応用できるかもしれません。私たちはbcc型Al5Nb24Ti40V5Zr26が冷間圧延後にゴムメタルの性質を示す報告に注目し、Al-Nb-Ti-V-Zr合金における超伝導を調べました。すべての試料で4.7 Kから7 Kの間で超伝導を示しました。超伝導転移温度と平均価電子数の関係は典型的なbcc型高エントロピー合金超伝導体と同じ振る舞いを示しました。一部の試料は高エントロピー合金の定義を満たしていませんが、5種類の元素で多元系合金を形成すれば、高エントロピー合金的な振る舞いをすることがわかりました。
発表論文:"Superconductivity in Al-Nb-Ti-V-Zr multicomponent alloy" Supercond.
Nov. Magn. 34 (2021) 2787.
複数の元素を同程度混ぜた高エントロピー状態が超伝導にどのような影響を及ぼすのか明らかではありませんでした。東京都立大学・水口佳一准教授、九州産業大学・西嵜照和教授と共同で、新しい高エントロピー合金超伝導体HfMoNbTiZrを開発しました。さらに、エントロピー状態を揃えたうえで、いろいろな高エントロピー合金超伝導体を比較したところ、高エントロピー状態では、量子力学の基本原理である不確定性原理を通して、格子振動が激しくなるほど超伝導になる温度が低くなることを発見しました。不確定性原理が機能性に関わることは、超伝導体以外の高エントロピー合金にも当てはまります。したがって、本研究は、高エントロピー合金が示す様々な実用的機能性を深く理解し、さらに向上させるために役立つと期待されます。下図は、デバイ温度(格子振動の激しさ)と電子格子相互作用(電子と格子振動の接着のしやすさ)に対する超伝導転移温度の等高線プロットです。超伝導を実現するには電気を流す役目の電子がペアを組む必要があります。このとき、格子振動が接着剤の役割を果たします。通常の超伝導体では白矢印のように、格子振動が激しくなると、接着もしやすくなり超伝導転移温度が上昇します。しかし高エントロピー合金超伝導体(A,B,C,D)では、格子振動が激しくなると、原子配列の乱れによる各格子での格子振動のばらつきが大きくなります。すると、不確定性原理から接着に使える時間が短くなりペア形成が困難で、超伝導になる温度が低下します。
発表論文:"Superconductivity and hardness of the equiatomic high-entropy alloy
HfMoNbTiZr" Journal of Alloys and Compounds 924 (2022) 166473.
報道記事:日刊産業新聞 2022年9月2日

これまで紹介した高エントロピー合金超伝導体は単一組成の合金からできていました。しかし、高エントロピー合金は多数の元素から構成されているため、複数の異なる組成合金が同時に形成されることが多くなります。時には共晶構造と呼ばれる微細な金属組織が発現します。共晶構造と超伝導特性の関係は必ずし明かではなく、高エントロピー合金超伝導体は恰好の研究の舞台といえます。我々は九州産業大学・西嵜照和教授と東京都立大学・水口佳一准教授と共同で、共晶高エントロピー合金超伝導体NbScTiZrの超伝導転移温度の熱処理温度依存性を調べました。800℃まで熱処理温度を上げていくと微細構造の変化と共に格子ひずみが大きくなっていきます。それとともに超伝導転移温度も上昇することがわかりました(下図)。また、熱処理をしていない試料では、臨界電流密度が自己磁場で1
MA/cm2 (2 K)を超えることがわかり、高エントロピー合金のなかでも最高部類に属することがわかりました(下図)。
発表論文:"Effect of Annealing in Eutectic High-Entropy Alloy Superconductor
NbScTiZr" Supercond. Nov. Magn. 37 (2024) 1059.

1-2 新しい高エントロピー合金磁性体の開発
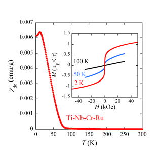
鉄などの磁性元素をを含む高エントロピー合金は強磁性などの磁性も示します。高エントロピー合金磁性体は、機械的に優れた特性と磁気的特性を兼ね備えた多機能材料として、これからますます研究が盛んになっていくと期待されます。一方、高エントロピー合金は元素の組み合わせが多く、新奇な磁気現象の発現確率が高くなります。今回、Ti-Nb-Cr-Ru高エントロピー合金でCr(クロム)による強磁性発現という珍しい現象を発見しました(下図)。クロムは元素としては反強磁性体ですが、化合物では強磁性体になる可能性があります。しかし数例しか知られていません。しかも今回は、高エントロピー合金で世界初のクロムによる強磁性発現を実現しました。クロムは鉄よりも強い強磁性を示すことが可能です。今回の強磁性は38Kまで冷却しなければ発現しませんが、高エントロピー合金は物質設計の自由度が高いため、高温で強磁性を発現させることも可能と期待されます。
発表論文:"Discovery of ferromagnetism in new multicomponent alloy Ti-Nb-Cr-Ru" APL Materials 10 (2022) 071101.

1-3 その他
これまでに、C6Cr23型のCe3Pd20As6 やScAl3C3型のCeCd3P3 という新物質を発見してきました。また、最近はFe3Ga0.35Ge1.65を発見しました。この物質は六方晶Fe13Ge8型構造をとります。我々はさらに同じFe13Ge8型に属するCo6.2Ga3.8-xGexが低温ながらもネオジム磁石の保磁力を凌駕する巨大保磁力を示すことを発見しました(下図)。この物質はCoが三角格子やカゴメ格子を形成していることが特徴で(下図)、このことが巨大保磁力の発現に関与していると考えています。
発表論文:
"Synthesis and physical properties of a new caged compound Ce3Pd20As6 of the C6Cr23-type structure" J. Alloys and Compounds 622 (2015) 676.
"Optical, transport and magnetic properties of new compound CeCd3P3" Mater. Res. Express 3 (2016) 056101.
"Magnetic properties and magnetocaloric effect of Fe3Ga0.35Ge1.65" J. Phys. Soc. Jpn. 91 (2022) 065004.
"Low-temperature giant coercivity in Co6.2Ga3.8-xGex (x=2.4 to 3.2)" Mater. Res. Express 10 (2023) 106102.

2. 新しい機能性の開発
2-1 複雑な結晶構造が示す強磁性ー反強磁性転移の発見
強磁性体はこれまで磁気デバイス材料として重要な役割を果たしてきました。さらに最近では反強磁性体も次世代磁気デバイス材料として期待されております。鉄化合物において、この二つの性質を一つの物質が示す珍しい現象があります。FeRh1-xPtxやCe(Fe1-xCox)2は強磁性体になった後、温度を下げると磁化率が急激に下がり、反強磁性体になります。これは強磁性ー反強磁性転移と呼ばれています。これまでは単純な結晶構造が調べられてきましたが、我々は複雑な結晶でもこの珍しい強磁性ー反強磁性転移を起こせることを発見しました。
Al8.5-xFe23Ge12.5+xは図(a)に示すように複雑な直方晶をとります。磁化率を測定したところ図(b)に示すようにx=1.5やx=2のときに、温度を冷やしていくと強磁性転移による急激な磁化の立ち上がりがみられたのち、さらに温度を冷やすと磁化率が急激に低下する強磁性ー反強磁性転移を発見しました。複雑な結晶構造が強磁性ー反強磁性転移を引起こす新たなルートになると考えています。
発表論文:"Competition between ferromagnetic and antiferromagnetic states in
Al8.5-xFe23Ge12.5+x (0≦x≦3)" Journal of Solid State Chemistry 284 (2020) 121188. (九州産業大学、フィゾニットとの共同研究)

2-2 マンガン化合物における軽元素添加による室温強磁性誘起
マンガンは反強磁性体ですが、マンガン間距離が少しでも伸びると強磁性体になりやすいことが昔から知られています。そのため、マンガン化合物にはMnBiに代表されるような強磁性体や、Mn3Snという最近トロポロジカル反強磁性体として注目されているものまで存在し、強磁性・反強磁性材料ともにマンガン化合物は欠くことができません。マンガン原子距離間の制御は、軽元素添加でも可能です。例えば、常磁性体Th6Mn23に水素が吸蔵されると、室温強磁性が誘起されることが報告されています。我々は、創発的な研究により、強磁性を全く示さないPd0.75Mn0.25というマンガン合金(下図(a))に軽元素ボロン(B)を少しでも添加したPd0.75Mn0.25Bxで、室温強磁性が発現することを発見しました(下図(b)参照)。バルクのマンガン化合物において、軽元素添加による室温強磁性の誘起例は水素吸蔵Th6Mn23しか報告例がありませんでした。我々の物質は、キュリー温度と室温飽和磁化は最も高い値を実現しています。永久磁石の研究において、主に鉄化合物では、軽元素添加による磁気特性向上の研究が昔から盛んでした。これらの研究は強磁性の性質をいかに向上させるかに焦点が当てられています。しかし、マンガン化合物では、常磁性から強磁性へ、反強磁性から強磁性へといった、磁気特性の変換が軽元素添加という簡単な手法で可能となるかもしれません。これからの磁性材料の研究に新たな切り口を与えたと思っています。
発表論文:"New room-temperature ferromagnet: B-added Pd0.75Mn0.25 alloy" Journal of Magnetism and Magnetic Materials 468 (2018) 115.

2-3 光誘起近藤効果の提案と候補物質の開発
磁気の光制御は光磁気デバイスに欠かせません。現在は光の熱効果で磁気を光制御していますが、低消費電力デバイスを実現するためには熱によらない磁気の光制御方法が求められています。我々は、希土類化合物で良く観測される近藤効果に着目し、光誘起近藤効果という磁気の新しい光制御法を提案しています。我々は、ScAl3C3型CeZn3P3において光誘起近藤効果の可能性を見出しました。現在の磁気記録デバイスでは、光照射密度は記録時に106 W/cm2と極めて大きいのですが、光誘起近藤効果の場合は光磁気制御には10 W/cm2もあれば十分です。したがって、光磁気記録装置や光変調器などの省電力化が期待されます。そのほかにも、量子回路への応用で大きなインパクトを与えることができます
発表論文:"Photoinduced Kondo effect in CeZn3P3" Physical Review B 93 (2016) 035122.
3. その他
3-1 環境に優しいレアアース分離回収技術の開発
レアメタルは産業・経済の維持に欠かせないことから、「産業のビタミン」と呼ばれています。レアメタルは海外からの輸入に頼っていることが多く、持続可能性社会の構築や環境保全のためには、国内でレアメタルを使用済み製品等からリサイクルすることが強く望まれています。このような社会のニーズに応えるため、レアメタルの一種、レアアースのリサイクル技術の実用化を目指しました。我々は、自動車やコンピュータに広く使用されているレアアース磁石からのレアアース分離回収技術の開発を、(株)フィゾニットと共同で開発しました。
レアアース磁石として現在最も使われているのはネオジム磁石です。我々はネオジム磁石を腐食させた後に、酸とジカルボン酸を用いた既存の抽出技術を用いれば、室温で100%近いネオジムの回収率が得られることを見出しました。既存技術では酸溶液を温める必要がありますが、本技術ではその必要性がないことが、特筆すべき点です。この成果は米国物理学協会刊行の学術雑誌AIP
Advancesに掲載されました。また、国内特許も取得しました(第6544518号)。
我々の開発した方法では、レアアースを抽出するごとに酸廃液が出ます。環境にやさしいリサイクル技術の確立を目指して、酸廃液を出さない酸循環プロセスの実現可能性を調べました。使用済みの酸をイオン液体で再生することで、レアアース磁石からのレアアース抽出を3回行いました。回収率は3回とも50%にとどまりましたが、酸循環プロセスの実証に世界で初めて成功し、環境にやさしいリサイクル技術の確立に大きな一歩を踏み出しました。この成果はNature Publishing Group刊行のScientific Reportsに掲載されました。
発表論文:
・ "Improved room-temperature-selectivity between Nd and Fe in Nd recovery
from Nd-Fe-B magnet" AIP Advances 5 (2015) 117212.
・ "Rare Earth Extraction from NdFeB Magnet Using a Closed-Loop Acid
Process" Scientific Reports 7 (2017) 8039.
〒811-0295 福岡県福岡市東区和白東3-30-1
TEL.092-606-4579
FAX.092-606-0751